Campaña Esquía la primavera.
El análisis por ámbitos administrativos evidencia el peso determinante de la Administración del Estado en el total

La licitación de obra pública en Granada crece más del doble en 2025, con 668 millones

E+I+D+i - IndeGranada - Jueves, 19 de Marzo de 2026
Solo dos grandes proyectos en marcha, IFMIF-DONES y Variante de Loja, aglutinaron casi el 70% de toda la inversión de obra pública en la provincia.

Recreación del viaducto de Salar para la Variante de Loja, la mayor inversión de obra pública en Granada. ministerio

El ejercicio 2025 ha presentado un volumen de licitación extraordinario de obra pública en la provincia de Granada, alcanzando prácticamente los 668 millones de euros (667.982.555,96 €), más del doble respecto a los 308 millones de 2024, lo que supone un crecimiento del 117%, según el informe elaborado por la Asociación de Constructores y Promotores de Granada (ACP).  

Unas cifras que difieren de las ofrecidas hace una semana por CEACOP (Círculo de Empresas Andaluzas de la Construcción y Obra Pública), que calculaba la inversión de obra pública en 545 millones, muy por debajo de los 668 de la ACP, con un aumento del 27% sobre 2024, si bien los números de CEACOP se refieren a adjudicaciones de obras, mientras que la ACP recopila las licitaciones, el paso previo antes de adjudicar los trabajos y que suelen tener un importe mayor.

La Asociación de Constructores y Promotores de Granada destacan, no obstante, que esa extraordinaria cifra de licitaciones de obra pública en Granada está claramente condicionada por la ejecución de la Variante de Loja e IFMF-DONES España, dos proyectos estatales que concentran entre ambos 455 millones de euros, el 68,25% del total licitado en la provincia durante 2025.

Si se excluye esas dos grandes obras, la inversión en la provincia se sitúa en niveles más moderados, tanto en términos absolutos como en indicadores relativos por habitante.

El análisis por ámbitos administrativos evidencia el peso determinante de la Administración del Estado en el volumen total licitado, concentrando 493 millones de euros, frente a los 117 millones del ámbito local (ayuntaminents y Diputación) y los 56 millones del ámbito regional (Junta de Andalucía). 

 

En materia de adjudicación, el 77,7 % del presupuesto ha sido otorgado a empresas no andaluzas, dato directamente vinculado a la concentración de la inversión en grandes actuaciones estatales. La situación contrasta con el comportamiento de las administraciones locales y autonómicas, donde aproximadamente el 90 % de las adjudicaciones recaen en empresas andaluzas.

En comparación con el conjunto andaluz, Granada representa el 13 % de la licitación total. La inversión por habitante es de 706,26€, la segunda más alta de Andalucía, tras Córdoba. 

Los indicadores expuestos confirman que la posición destacada de Granada en 2025 responde fundamentalmente al impacto de dos infraestructuras concretas, no a una distribución homogénea y sostenida de inversiones en el conjunto del territorio provincial, resalta el informe de la ACP.

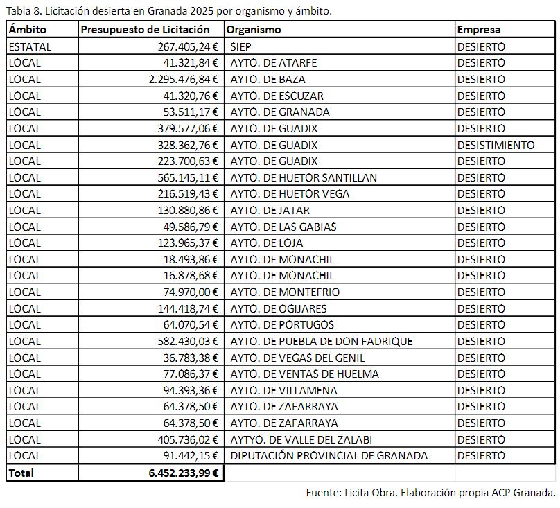
Por otro lado, las licitaciones desiertas, con un importe total 6.452.233,99€, se concentran mayoritariamente en el ámbito local, representando una parte reducida en comparación con el volumen total licitado, aunque "evidencian la necesidad de seguir analizando la eficacia de determinados procedimientos de contratación", afirma la patronal constructora.

ACP Granada continúa reclamando la puesta en marcha de infraestructuras que considera estratégicas para el desarrollo económico y la cohesión territorial de la provincia, como las recogidas en el Plan Hidrológico 2022-2027, que contempla una inversión prevista de 77 millones de euros para la mejora y creación de infraestructuras de saneamiento y depuración.

Asimismo, reitera "demandas históricas" dependientes de la Junta de Andalucía, sin proyectar ni ejecutar, "como la ampliación del PTS, ampliación del metro, el cierre del anillo de la Circunvalación, VAUS (la 5 urgente), autovía Baza-Caravaca, acceso Sierra Nevada, ampliación de la superficie esquiable de sierra Nevada o EDAR (depuradoras)". De competencia nacional cita las conducciones de Rules, el soterramiento del AVE, el tren a Motril o la mejora del litoral.

Todas ellas constituyen actuaciones necesarias para consolidar un modelo de crecimiento equilibrado, competitivo y sostenible, y forman parte del amplio listado de infraestructuras pendientes de ejecución en la provincia de Granada.